İki Helmholtz bobininin ortasındaki manyetik alanının matematiksel olarak hesaplanması

         

    Biot-Savart yasası kullanılarak; dairesel bir bobinin merkez ekseni üzerinde, bu bobinin merkezinden x uzaklığında bir noktadaki manyetik alan büyüklüğü hesaplanabilir. Biot-Savart yasasına göre, I akım taşıyan R yarıçaplı dairesel bir telden x kadar uzaklıkta bir manyetik alanın büyüklüğü,



eşitliği ile hesaplanır. N sarım sayısına sahip dairesel bir bobin için bu büyüklük hesaplanırken manyetik alan formülü  sarım sayısı (N ) ile çarpılmalıdır.


 Bu eşitlikte;

x ise simetri ekseni üzerinde bobinin merkezden uzaklığını (m) ifade eder.








               Karşılıklı olarak yerleştirilmiş Helmholtz bobinleri (𝐻1 ve 𝐻2 )



        Her bir bobin merkezinin orta noktaya olan uzaklık değeri, bobinlerin bu orta noktada (𝑥0 noktasında) oluşturacağı manyetik alanın büyüklüğünü hesaplamada kullanılır. 


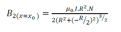
İkinci bobin için de aynı işlemleri tekrarlarsak;




        İki Helmholtz bobininin orta noktasındaki uniform manyetik alanın büyüklüğü (𝐵𝑡𝑜𝑝𝑙𝑎𝑚); birinci ve ikinci bobinin bu noktadaki manyetik alanlarının toplamına eşittir. Buna göre, iki bobinin orta noktasındaki toplam manyetik alanın büyüklüğü aşağıdaki şekilde hesaplanır:






Manyetik alan sabiti ;
 eşitlikte yerine yazılırsa;






        Bobinlerin oluşturduğu bu manyetik alanın büyüklüğü, SI biriminde Tesla (𝑇) veya CGS biriminde Gauss (𝐺) olarak ifade edilebilir.

Ulaştığımız eşitliklerinden yola çıkarak; iki Helmholtz bobininin orta noktasındaki manyetik alanın büyüklüğünün bobinlere uygulanan akım (𝐼) ve bobinlerin sarım sayısı (𝑁) ile doğru orantılı, bobinlerin yarıçapı ile de ters orantılı olduğu çıkarımını yapabiliriz. Benzer şekilde, bobinlerin arasına manyetik geçirgenliği yüksek bir madde koyulması, içinde oluşabilecek manyetik alanı artıracaktır. Normalde bu değer boşluğun manyetik geçirgenlik katsayısına eşittir.





Kaynakça: 



Kıvanç, B. 2022. Yüksek Frekanslı Helmholtz Bobin Uygulamaları için Donanım Düzeneği Tasarımı. Yüksek Lisans Tezi. Ankara Üniversitesi, Fen Bilimleri Enstitüsü, Ankara.